I.N.S.A. Rouen C.F.I.  Les techniques statistiques au service de la qualité au laboratoire

Calcul de la droite de régression

On dispose de n couples de valeurs xi , yi ; les valeurs xi sont connues "exactement".

 Estimation de la pente et de l'ordonnée à l'origine :

 A=f(c), tracé de la droite de régression

 estimation de la pente

 
estimation de l'ordonnée à l'origine

 

 estimation de l'écart type sur a1

 estimation de l'écart type sur a0

 estimation écart type pente

 estimation de l'écart type sur l'ordonnée à l'origine

 

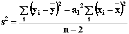
est la variance liée


carré du coefficient de détermination

r est le coefficient de détermination

N.B. : touts ces calculs peuvent être effectués sous EXCELä en utilisant la formule matricielle DROITEREG

 Michèle Salaün   Laboratoire d'Enseignement de Chimie Analytique juin 1999